At what lichess rating in blitz/rapid can you expect to get the title
Chess titles have always been a kind of "quality mark" for a player, but how much do these prestigious titles correspond to real playing strength in the online world?Introduction
Chess titles have always been a kind of "quality mark" for a player, but how much do these prestigious titles correspond to real playing strength in the online world? To answer this question, I conducted an extensive study, analyzing 4000 randomly selected titled players on the Lichess platform.
Research goal: to identify patterns between official FIDE titles and online ratings, as well as to determine which rating gives real chances of obtaining a coveted title.
Methodology: To ensure reliability, I only considered ratings with a deviation less than 85 points, which guarantees relative stability of indicators. Important note: the sample for Classical and Correspondence time controls turned out to be insufficient, so these data should not be considered
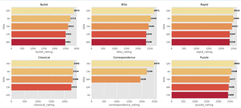
Graph 1: Distribution of Ratings by Titles and Time Controls

Key observations:
- Hierarchy preservation: A clear hierarchy is evident across all time controls — Grandmasters (GM) demonstrate the highest average rating, followed by International Masters (IM), FIDE Masters (FM), and so on.
- Stable distance: The difference between adjacent titles (for example, between GM and IM) is approximately 100-150 points in rating, indicating a certain "step" in mastery.
- Tactical superiority: In Puzzle ratings, Grandmasters also dominate with an average score of 2662, confirming the direct link between tactical abilities and overall chess strength.
Graph 2: Quantitative Distribution of Players by Titles

Interesting facts:
- FM dominance: FIDE Masters form the largest group of titled players on Lichess — 1257 people.
- Balance of IM and CM: International Masters and Candidate Masters are represented in almost equal numbers — 670 and 634 respectively.
- Rarity of women's titles: Women's titles (WFM, WIM, WGM, WCM) and the WNM title are significantly less common on the platform, reflecting the general demographics of chess.
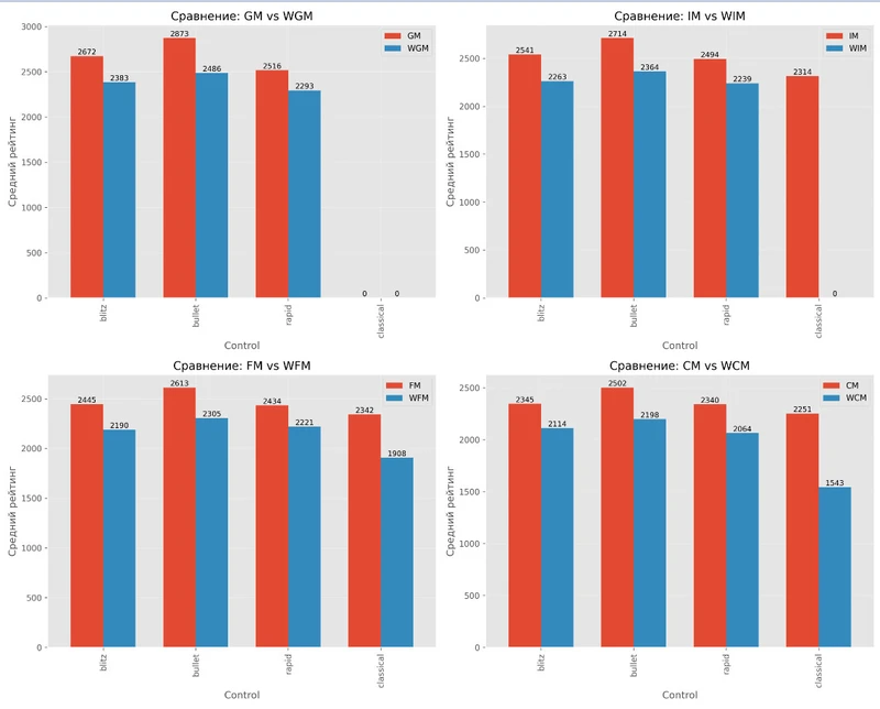
Graph 3: Comparison of Standard and Women's Titles

Identified differences:
- Systemic gap: In all categories, standard titles demonstrate higher average ratings than their women's counterparts.
- Scale of differences: The difference between GM and WGM is an impressive 200-400 points depending on the time control.
- Average indicator: Women's titles require approximately 300 points lower playing strength than their male counterparts.
- Low threshold for WCM: The average rapid rating for WCM is only 2064 points — a surprisingly low indicator (which may vary depending on the country of title awarding).
Note: Data for classical time control are not considered due to insufficient sample size. For other time controls, the sample is statistically significant.
Graph 4: Average Rating by Titles and Time Controls

Conclusions and Practical Application
My analysis revealed several important patterns between official chess titles and real playing strength on Lichess:
- Hierarchy confirmation: The traditional title ladder (GM > IM > FM > CM > NM) indeed reflects the objective playing strength across all time controls.
- Gender gap: There is a significant difference in ratings between standard titles and their women's counterparts, which corresponds to the differences in FIDE requirements for these titles.
- Research limitations: It should be noted that 4000 players is not an exhaustive sample, and for a more accurate analysis, it is necessary to examine a larger number of profiles.
- Practical benchmark: If your rating in rapid and blitz exceeds 2350 points, you have real chances of obtaining the CM title in official competitions.